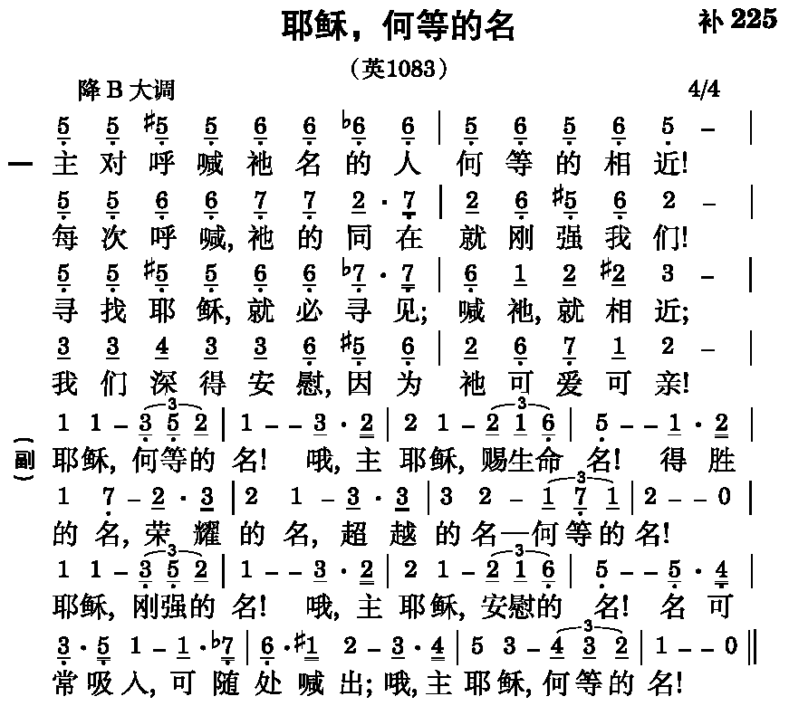
总题:马太福音中所启示包罗万有的基督

2
只要呼喊耶稣的名,
你就必得救。
哦!主耶稣,阿利路亚,
从此不被囚!
我们举起救恩之杯,
呼喊祂的名,
祂便拯救我们
脱离多少的事情!
3
犹太人或希利尼人,
并没有差异,
主对呼喊祂名的人
都是丰富的。
哦主耶稣,呼喊你名,
活着真喜乐!
每当把你的名吸入,
我们就快活!
4
我们欣然享受
经常施恩的救主,
无论祸福,无论乐苦,
都呼喊如故!
只要我有气息活着,
我就必喊主,
因祂乐意侧耳倾听,
恩典常倾注!
5
我们如此乐而不疲
呼喊主的名,
对主赞美感激之情
便油然而生。
我们乃是那些
随处呼喊主的人,
与那清心爱主的人
同呼喊蒙恩。